Postat azi la 09:32
Ofer meditatii fizica, nivel gimnaziu si liceu
Persoana fizica
tip: pentru copii, privat
Descriere
Absolventa a Facultatii de Fizica, atat licenta cat si master, la Universitatea Babes-Bolyai Cluj-Napoca
Absolventa a modulului pedagogic I si a modulului pedagogic II.
Experienta de 5+ ani ca profesor medidator, am pregatit elevi de la clasa a 6-a pana la clasa a 12-a (pregatire pentru bac). Suplimentar, experienta de 1 an in invatamantul de stat.
Meditatiile le ofer online, cu ajutorul tablei interactive (aplicatia Whiteboard + tableta grafica), astfel elevul vede tabla in timp real. Sedintele se vor tine preferabil pe Google Meet sau Zoom, dupa preferinta elevului.
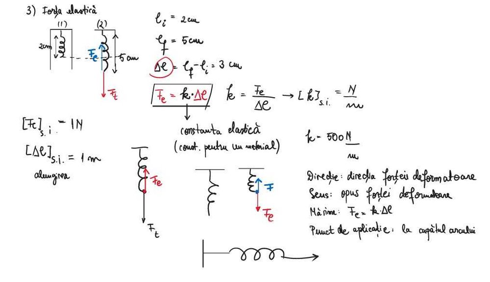
Atasate sunt cateva parti de la diverse sedinte de meditatii.
Pentru mai multe detalii, contactati-ma pe Whatsapp.
Absolventa a modulului pedagogic I si a modulului pedagogic II.
Experienta de 5+ ani ca profesor medidator, am pregatit elevi de la clasa a 6-a pana la clasa a 12-a (pregatire pentru bac). Suplimentar, experienta de 1 an in invatamantul de stat.
Meditatiile le ofer online, cu ajutorul tablei interactive (aplicatia Whiteboard + tableta grafica), astfel elevul vede tabla in timp real. Sedintele se vor tine preferabil pe Google Meet sau Zoom, dupa preferinta elevului.
Atasate sunt cateva parti de la diverse sedinte de meditatii.
Pentru mai multe detalii, contactati-ma pe Whatsapp.
ID: 301521941
Contactează vânzătorul
xxx xxx xxx