Navighează la conținutul principal
Chat

Notificari

Contul tău

Adaugă anunț nou
Meditații Matematică
Meditații Matematică
Meditații Matematică
Meditații Matematică
Meditații Matematică
Meditații Matematică
Meditații Matematică
Meditații Matematică
Postat 24 aprilie 2026

Meditații Matematică

PromoveazăReactualizează

Persoana fizica

tip: pentru adulti, pentru copii, pentru studenti

Descriere

Bună ziua,

Sunt studentă în anul 2 la Universitatea Politehnică din București, Facultatea de Automatică și Calculatoare, secția Ingineria Sistemelor, și ofer meditații la Matematică pentru:
• Gimnaziu (clasele V–VIII) – pentru înțelegerea materiei curente și pregătirea Evaluării Naționale.
• Liceu (clasele IX–XII) – pentru consolidarea cunoștințelor și pregătirea pentru Bacalaureat.

Despre mine:
• Am obținut media 10 la Bacalaureat (Matematică).
• La facultate am rezultate foarte bune la disciplinele de matematică:
• Analiză matematică – media 9
• Algebră și ecuații diferențiale – media 10 (semestrul 1)
• Matematici speciale – media 10 (semestrul 2)
• Rezultatul elevului meu dupa 5 luni de pregǎtire, 1 sedință pe săptămână: nota la simulare: 4,20, nota în examenul de Evaluare Națională: 7,90.
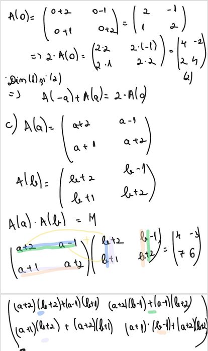
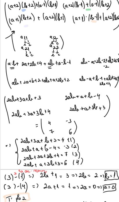
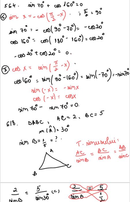
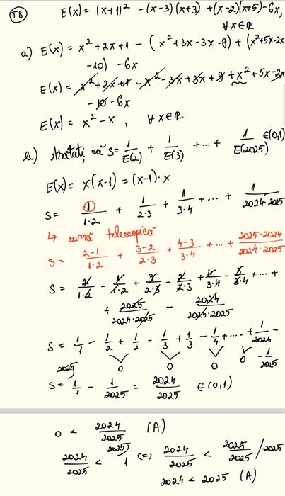
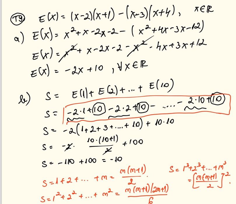
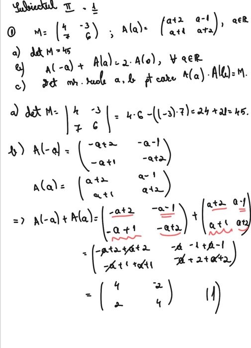
• În prezent lucrez cu elevi de clasa a V-a, a VIII-a și a XII-a, astfel că am experiență atât cu materia de gimnaziu, cât și cu pregătirea pentru examene importante. În anunț sunt atașate și câteva fotografii din lecțiile noastre, pentru a se vedea modul de lucru și tipul de explicații folosite.

1. Explic pe înțeles, cu răbdare, adaptat nivelului fiecărui elev.
2. Orele sunt exclusiv online (Zoom/Google Meet).
3. Prima ședință de 30 de minute este gratuită – pentru evaluarea nivelului și stabilirea planului.

Tarife:
• Gimnaziu: 90 lei/şedință
• Liceu: 120 lei/şedință
ID: 292219949

Contactează vânzătorul

Maria Popescu

Pe OLX din noiembrie 2024

Activ pe 24 aprilie 2026

Localitate

Descarca aplicatia pentru telefonul tau